Leasing a room in a home can be a reliable means to make additional income, yet it also needs clear lawful documentation. A lease arrangement for renting out a space the civil liberties and responsibilities of both property manager and lessee, ensuring that assumptions are correctly set.
In this overview, we’ll explain what a room lease arrangement is, why it matters, and just how to create one utilizing an easy and totally free template.
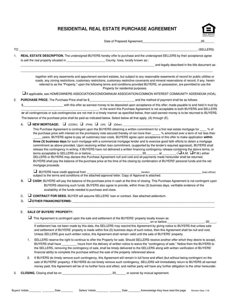
What Is a Lease Contract for Renting an Area?
A lease arrangement for leasing an area is a lawfully binding contract between a proprietor and a lessee that occupies a certain space within a home. It approves the renter the right to use one exclusive area, usually in a shared house or home while outlining access to common spaces such as the cooking area, living space, or bathroom. Unlike a full-property lease, this document concentrates on the occupant’s exclusive room and makes clear exactly how shared locations are utilized.
If you’re planning to lease a space for additional earnings, it is essential to comprehend the legal process and obligations entailed.At site Washington Lease Agreement for a Room from Our Articles You can look into this comprehensive guide on just how to rent a space in your residence for useful actions and property owner suggestions.
Several property owners question, ‘Can you compose your own lease contract?’ Yes, absolutely, however it requires to be comprehensive and follow local and state regulations. To simplify the procedure, utilizing a room rental agreement layout totally free for download is very advised. Starting from a straightforward space rental agreement layout makes sure that all essential legal aspects are included and minimizes the threat of missing crucial stipulations.
So, what should be included in a lease arrangement for renting out a space? Right here are the essential areas every landlord should cover:
- Tenant and Proprietor Information
- Property and Area Summary
- Lease Term
- Lease and Payment Terms
- Security Deposit
- Utilities and Provider
- Residence Rules
- Maintenance and Repairs
- Legal and Conformity Clauses
- Trademarks and date
Why Landlords Need a Space Lease Contract?
Having actually a created tenancy contract renting out a space is greater than good practice. It’s legal security. Verbal agreements may be misconstrued, and informal setups often create conflicts.
Below are essential factors every proprietor should prepare a thorough room lease agreement.
Legal security for both parties
A created lease for leasing an area in my residence clearly lays out responsibilities and legal rights. It defines the homeowner’s rights, such as gathering rent and applying house rules, and the renter’s civil liberties, such as a habitable space.
This lawful quality is important if disputes occur. Without a formal lease for renting out an area in my house, homeowner have little recourse in court for concerns like non-payment or property damages.
Clearness on policies, responsibilities, and payments
The arrangement specifies who pays for energies, what areas are shared, and when lease schedules. Clear terms lower confusion about late costs, cleaning up duties, or guest plans, problems that usually bring about conflict in common housing.
Preventing disputes by placing everything in creating
Most landlord-tenant problems emerge from misconceptions, not malice. Defining every information upfront from peaceful hours to cleaning up timetables, assists prevent disagreements down the road. Homeowner need to make certain the occupancy agreement renting a space covers all awaited shared living issues.
Key Elements to Include in a Room Lease Arrangement
A great example lease contract for space leasing ought to be detailed. Below is what to consist of in an area rental contract to ensure it’s lawfully audio and covers all eventualities.
1. Renter and Property Manager Info
Every space rental agreement starts with basic recognition information. Consist of:
- Full lawful names
- Call details
- Identification numbers for both the proprietor and the renter
This protects against complication, particularly in multi-tenant residential or commercial properties where a number of renters share typical areas. Some property managers also include emergency contact details for safety and security purposes.
2. Residential Property and Room Summary
Clearly define the building’s complete address and the exact area being rented.
For instance: ‘Area 2, 2nd floor, consists of exclusive bathroom and common access to kitchen area and washing.’ State any kind of shared centers: garage, yard, or storage to prevent misunderstandings later on.
For property managers renting out a room in a private home, this quality is particularly important to specify which areas are exclusive versus shared.
3. Lease Term
The lease term defines how much time the tenant can inhabit the room. Define clearly mention the start and end days, whether it’s a fixed-term (e.g., year) or month-to-month arrangement. Month-to-month leases provide even more flexibility for both sides.
To learn more regarding this sort of rental period, inspect what is a month-to-month lease. Likewise, include renewal terms and notice durations for ending or expanding the lease.
4. Lease and Payment Terms
Specify the specific lease amount, the due date (e.g., the 1st of the month), and accepted settlement methods, for example, direct financial institution transfer, online settlement systems, or check. Many proprietors currently choose electronic settlements for performance and record-keeping. If late charges use, define the moratorium and charge percentage.
To simplify rental fee collection and stay clear of missed settlements, refer to the most effective way to collect rental fee for contemporary, safe alternatives.
5. Security Deposit
A security deposit gives economic security in case of damages or unsettled rental fee. The arrangement should specify the down payment quantity, exactly how it’s stored (in a separate escrow or depend on account), and the timeline for return after the lease finishes.
Under the majority of U.S. state laws, property owners need to return the down payment within 14 to 1 month after move-out, minus any type of accepted reductions. Consist of clear problems for reductions, such as repair services beyond normal deterioration to prevent disputes.
6. Utilities and Solutions
Among the most common resources of argument is utility prices. A clear area share rental agreement ought to describe which energies: power, water, gas, internet, are included in lease and which are split amongst tenants. For shared properties, take into consideration adding a utility-splitting condition defining just how each occupant adds.
This prevents misconceptions about expenses and urges responsible use.
7. House Policies
House rules create a considerate living setting. Overview expectations for noise, tidiness, visitor visits, cigarette smoking, and pet policies. These information are specifically important in common homes or rooming residences where numerous tenants connect daily.
Landlords renting part of their personal house need to additionally make clear visitor hours, parking arrangements, and use of shared areas like kitchen areas or outdoor patios. Having actually these written makes certain harmony and uniformity for everyone.
8. Repair and maintenance
Upkeep conditions determine who manages repair services and upkeep. Generally, tenants deal with tiny issues like lightbulb substitute or minor cleansing, while proprietors deal with architectural or system-related repair services (e.g., pipes, HEATING AND COOLING).
Urge occupants to report issues quickly to prevent larger damage. Landlords can also specify just how maintenance demands ought to be sent by text, e-mail, or via a management platform.
For more insights on landlord prices and responsibilities, see residential or commercial property management expense.
9. Legal and Compliance Clauses
Every occupancy contract renting out an area has to adhere to regional housing laws, fire safety and security codes, and anti-discrimination regulations such as the Fair Housing Act (FHA). Consist of provisions covering eviction treatments, subletting rules, and how legal notices are provided.
If updates or rule adjustments take place during the tenancy, landlords can issue a lease addendum rather than rewriting the whole agreement.
Exactly how to Produce a Lease Arrangement for Leasing a Room?
Property owners don’t need to be legal representatives to compose a strong agreement. Knowing how to compose a lease agreement for a space is a manageable process. Here’s how to do it.
Action 1: Use a template
Begin with an easy space rental agreement layout or space for lease agreement layout. These templates consist of all essential sections: renter details, repayment terms, and maintenance stipulations, made to satisfy a lot of U.S. state needs.
If the property remains in a city with rental regulations (like Los Angeles or New York), landlords ought to verify that the layout complies with local real estate codes, rent out control policies, or disclosure laws.
Step 2: Customize the terms
Landlords commonly ask, ‘Can you compose your very own lease contract?’. Yes, it’s entirely legal, provided the record includes all called for stipulations under regional landlord-tenant regulation. Next, personalize the file to mirror the unique details of the residential property and living plan. Consist of:
- Building summary: Address, area number, and accessibility to shared spaces (kitchen, washing, yard).
- Lease details: Month-to-month lease, due date, and payment techniques (cash, check, bank transfer, or digital applications).
- Security deposit: Amount, holding approach, and timeline for reimbursement.
- House rules: Smoking plans, visitor restrictions, quiet hours, and pet dog consents.
- Home furnishings: Define if the space consists of furnishings or appliances.
When personalizing, make certain every stipulation specifies, quantifiable, and fair. It is essential that both celebrations recognize what they are signing. We suggest examining the important inquiries to ask prior to authorizing a lease to guarantee quality on every term.
Step 3: Evaluation with the lessee
Before finalizing, both parties should evaluate every area together. Walk through rental fee, energies, maintenance, and standing order carefully. Encourage the occupant to ask questions or suggest alterations for clarity. Transparency at this phase assists avoid misunderstandings, enhances trust, and advertises long-term tenancy stability.
In addition, property managers with multiple occupants must clarify whether the agreement is joint or specific. Find out more regarding this at numerous tenants on a lease
Tip 4: Sign and distribute copies
Once both sides concur, the lease must be authorized and dated. In many U.S. states, digital signatures are lawfully valid under the Digital Trademarks in Global and National Commerce Act (E-SIGN).
Each celebration needs to get an authorized copy either published or digital for their records. Keeping documents makes sure compliance and streamlines future lawful or financial referrals.
To better protect the agreement, property owners may have trademarks notarized (optional) or include witnesses, particularly for leases longer than one year.
Conclusion
An in-depth lease arrangement for renting out a space safeguards both landlord and tenant by defining expectations clearly. Whether handling a shared home or renting a personal collection, having actually an authorized and structured agreement makes certain smooth cooperation and legal security.
Landlords can start with a cost-free area rental arrangement template, customize it, and finalize it with their occupants. Over time, maintaining created documents and complying with neighborhood regulations constructs a dependable, expert method to building service.

