Exactly how Does a Small Estate Affidavit Job?

Exactly how Does a Small Estate Affidavit Job?

Working out an estate can be a lengthy and strenuous process filled with different weaves as disagreements occur over exactly how the estate must be dispersed. Nonetheless, this procedure is a lot more likely to be a lengthy and challenging one when the estate itself is quite big; the bigger the estate, the bigger the probability of conflicts becomes and the more aspects there are to be arranged through.

But a number of us do not wind up getting a big estate during our lifetimes. For a great deal of us, we’re just mosting likely to acquire a small estate. This is where tiny estate testimonies enter area, as a way of speeding up the process of closing an estate. Listed below, we’ll take a look at just what defines a tiny estate affidavit, what the benefits of a small estate sworn statement are, and just how you go about submitting a small estate sworn statement.

What is a Small Estate Sworn Statement?

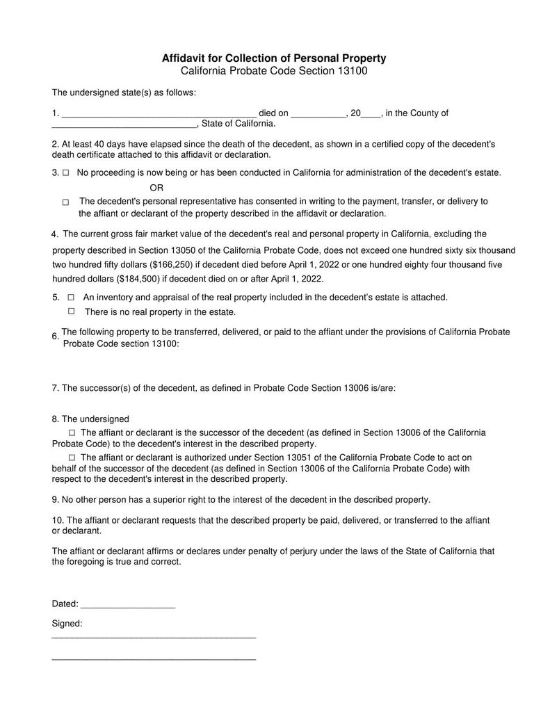
A small estate sworn statement is a kind of legal paper that is utilized to authorize the transfer of building and/or possessions from a will to the individuals they are meant for without needing to go via the probate process.Hawaii Affidavit of Small Estate step-by-step instructions https://affidavit-form.com/hawaii-small-estate-affidavit-pdf-form/ The probate process can be an extremely long procedure, in addition to a potentially costly one, and so little estate sworn statements were developed in order to lower the amount of time and sources it takes for a recipient to receive their inheritance.

Typically speaking, the little estate sworn statement process starts with the completing of kinds that call for the specific finishing them to offer descriptions (including the worth) of home and assets that are to be transferred, information about the dead person, a list of those parties curious about the estate, as well as various other details that can change from state to state depending on the certain regulations present.

, the worth of the estate have to be listed below $50,000 in order to receive a little estate affidavit.

When Can You Use a Tiny Estate Sworn Statement?

In order to get a little estate sworn statement, the estate needs to deserve below $50,000. In some states, this number can go as high as $150,000, yet not here. The very first step to figuring out if a little estate affidavit can be made use of is to tackle valuing the home and properties of the estate to identify their overall. It is likewise important to discover if the deceased had a last will and testament., you have to wait 45 days before filing a little estate sworn statement.

While a little estate sworn statement can be used in these scenarios, there are likewise situations in which a small estate affidavit will certainly not be practical. Certainly, what comes to mind very first is cases where the estate is valued at more than $50,000. Yet even in cases where the estate’s worth does can be found in listed below this limit, other aspects can avoid a little estate affidavit from functioning. If probate procedures have actually already begun then you may not utilize a tiny estate sworn statement.

Just how Do You File a Little Estate Affidavit?

To submit a little estate sworn statement, you must first wait for 45 days after the decedent’s death. You rate to complete the documents and attempt to get it started prior to that but you’ll locate that no probate court staff will certainly approve a little estate sworn statement up until after 45 days have passed so it’s far better to just wait.

Next, ensure that there are no consultations or requests exceptional for the function of the personal representative of the estate. You can figure out if there are any by doing an undergo the Tennessee Courts Public Case History.

The next action is to complete the documentation needed. You will certainly need to have a duplicate of the decedent’s will, which you can get from the Area and Metropolitan Records Archives. You will likewise require to fill in a little estate sworn statement, which we’ll talk about in length in one minute.

Ultimately, when all that is full, you need to file your paperwork with whichever court of probate was taken into consideration local to the decedent’s final long-term residence. After that, just like a lot of things, it comes to be time to wait to learn just how it went.

Allow’s have a look at the info you’ll be needed to fill in for a tiny estate sworn statement:

  • The name of the region of the circuit court
  • Docket number
  • Estate name
  • Tennessee affiant name
  • Tennessee decedent age
  • Decedent day and area of fatality
  • Residential address of decedent
  • Whether a will was left
  • Name of decedent’s lenders
  • Address of creditors
  • The amount owed to creditors
  • Every possession of the decedent’s
  • The location of assets
  • The worth of the home
  • The bank account numbers for the decedent’s accounts
  • Name of the near relative
  • Addresses of the next of kin
  • The partnership of the near relative to the decedent
  • Age of the next of kin
  • The date of when you authorized the testimony
  • Your address
  • Registration of the signature

There is a lot of information that requires to be gathered in order to submit a little estate affidavit. Given that you have 45 days from the date of the fatality to be able to submit the testimony, this window of time can be utilized to hound any one of the required information that you don’t presently have.

I Still Do Not Recognize Small Estate Sworn Statement, What Should I Do?

Estate regulation can be a confusing thing for people to cover their heads about, we absolutely get it. We right here at Crow Estate Planning and Probate have made it our organization to recognize the full scope of estate legislation and so we know specifically just how complex it can get.

If you are having problems understanding small estate sworn statements or whether it’s the ideal point to do with the specific situations you’re dealing with, after that connect to Crow Estate Planning and Probate. We’re constantly happy to assist people like you figure out the very best course of action when it pertains to clearing up an estate following the passing of a friend or member of the family.